发布时间:2025-11-29 08: 00: 00
品牌型号:惠普 Laptop15
软件版本:MathType7
系统:Windows 10
对于教育科研、工程技术领域的从业者来说,MathType是编辑公式时的得力助手。有了它,不仅能高效搞定各种复杂公式,还能给公式添加编号,避免在文档修改过程中出现公式顺序混乱的情况。接下来,本文将详细为大家拆解MathType右编号怎么从1.1改成2.1,MathType右编号怎么交叉引用的操作步骤,助力大家高效运用MathType进行文档编辑。
一、MathType右编号怎么从1.1改成2.1
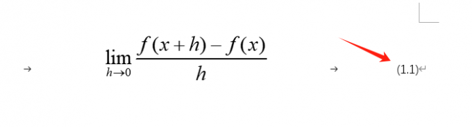
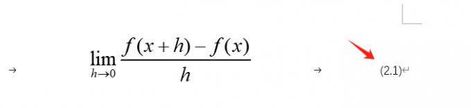
想要将文档公式中的编号从1.1改为2.1,可以通过MathType的【插入编号】功能来实现,操作步骤非常简单,接下来我们就以文档中的公式来为大家进行演示。

1、用鼠标选中文档中的编号,点击上方菜单栏中的【插入编号】——【格式化公式编号】选项,在弹出的格式化公式面板中选择【高级格式】,在这里直接将格式修改为2.1,并将修改后的公式格式应用到【当前所选内容中】,设置完成后点击【确定】按钮。

2、如下图所示,公式右编号就从之前的1.1改成了2.1。

3、这种情况常用于对已有公式编号的调整,此外,我们还可以在未插入公式编号之前,就先对编号进行设置。点击顶部的MathType选项卡,找到【插入编号】按钮进行点击,在弹出的面板中将起始章编号改成2,点击【确定】。之后再插入公式时,第一个编号就会是2.1。

4、通常编号的分隔符都是以【点】显示,比如2.1,如果想将其修改为2-1这样短横线格式,同样能够通过MathType的【格式化公式编号】实现,在格式化公式编号对话框中,找到【分隔符】选项,将其设置为横杠,应用之后样式就会立即发生变化。

二、MathType右编号怎么交叉引用
在编辑文档时,有时会提到:如公式1.1或1.2所示的字样,如果手动书写,后面删改公式序号后很容易会对不上,在这里可以使用MathType的交叉引用功能来设置,具体步骤很简单:
1、先插入带有右编号的公式。点击MathType工具栏中的【右编号】按钮,弹出公式编辑框,输入完公式之后关闭面板,文档中就会出现设置好编号的公式。
2、将鼠标放到需要引用公式编号的地方,点击MathType工具栏中的【插入引用】选项,就会图6中所示的文字内容。

3、然后双击我们想要引用的公式编号,公式在正文的引用就完成了,如图7所示。

4、如果公式的编号发生调整,将第一个公式删除后,点击【插入编号】-【更新】设置,文档中公式的编号由原来的1.2变成了1.1,同时,通过上述方法设置的交叉引用编号也会自动同步更新,这可以有效保障文档编号的一致性。

本期关于MathType右编号怎么从1.1改成2.1,MathType右编号怎么交叉引用的内容就先介绍到这里。MathType的编号功能非常实用,熟练掌握之后,不仅可以任意修改编号顺序,还能根据需要调整编号样式。大家如果在操作过程中遇到设置问题,可以登录MathType中文网站查看详细教程。
展开阅读全文
︾